RevIT™ AAV Enhancer
一款具備高度靈活性、專為提升 AAV 上游製程產量設計的增幅試劑。無論使用何種轉染試劑或生產何種 AAV 血清型,RevIT™ 都能顯著提升 AAV 滴度(GC/mL)達 2-4 倍,且不影響 AAV 實心率(% Full Capsid)。
- 廣泛轉染試劑相容性:RevIT™ 搭配市面上各類聚合物轉染試劑,都能加倍 AAV 產量。
- 全血清型 (Serotype) 適用:生產 AAV2、AAV5、AAV8、AAV9 等多種血清型皆能提升產量。
- 高度製程彈性:可依實際製程需求,選擇於轉染前、轉染中或轉染後使用。
- 降低製程成本:RevIT™ 提升 AAV 產量,並降低 pDNA 所需用量(最低 0.75 μg/mL)。
- RUO 與 GMP 等級:支援研發、臨床前、臨床及商業化製程。
- 實際應用經驗:RevIT™ 已有國際知名 CDMO ReciBioPharm 使用成功案例。
- 符合製程需求:不含動物來源成分(Animal Origin Free)。
歡迎與我們聯繫索取更多 RevIT™ AAV Enhancer 產品資訊與文獻
產品特點
RevIT™ 可搭配各類聚合物(Polymer-based)轉染試劑,顯著提升多種 AAV 血清型的產量

RevIT AAV titer enhancer improves titer across serotypes when used with polymer-only transfection reagents.
RevIT™ 搭配 VirusGEN® 轉染試劑,於各血清型(如 AAV2, AAV8, AAV9)生產中皆能實現高產量

RevIT AAV titer enhancer improves titer across serotypes when used with the VirusGEN® transfection platform.
RevIT™ 無論在轉染前、中、後期加入均能發揮效用,能靈活導入您的製程。

RevIT™ AAV Enhancer has a flexible window of time in which it can be added to cultures.
RevIT™ 與市售多款主流細胞培養基(如 BalanCD, VPM 等)高度相容

RevIT™ AAV Enhancer is effective in multiple cellular growth media formulations.
RevIT™ 搭配 VirusGEN®,給您優於他牌轉染試劑的 AAV 產量

VirusGEN® plus RevIT™ AAV titer enhancer outperformed polymer-only reagents.
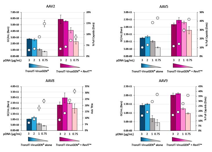
RevIT™ 即使降低 pDNA 劑量,仍能獲得 AAV 產量與優異的實心殼率(Full Capsid %)

Lower pDNA doses can be used to achieve high genome titers and percent full capsids with RevIT™ AAV Enhancer.
訂購資訊
| Product Name | Pack Size | Cat. No. |
|---|---|---|
| RevIT™ AAV Enhancer | 1.5 ml | MR-MIR 8000 |
| 10 x 1.5 ml | MR-MIR 8006 | |
| 75 ml | MR-MIR 8080 | |
| 200ml | MR-MIR 8200 | |
| VirusGEN® AAV Transfection Kit with RevIT™ AAV Enhancer | 1L | MR-MIR 8007 |
| 10L | MR-MIR 8008 | |
| RevIT™ GMP AAV Enhancer | Quote | MR-MIR 8200-GMP |
| VirusGEN® GMP AAV Transfection Kit | Quote | MIR 6815-GMP |